This the single cell model from the article:
A multiscale model to investigate circadian rhythmicity of pacemaker neurons in the suprachiasmatic nucleus.
Vasalou C, Henson MA. PLoS Comput Biol
2010 Mar 12;6(3):e1000706.
PMID: 20300645
, DOI: 10.1371/journal.pcbi.1000706
;
Abstract:
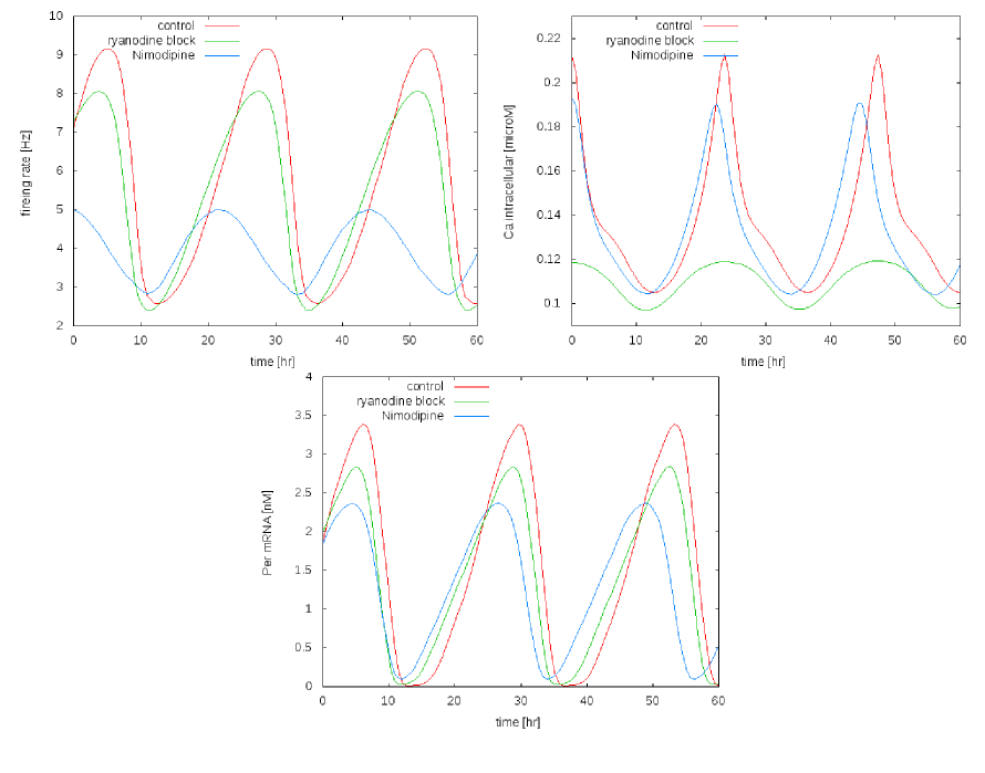
The suprachiasmatic nucleus (SCN) of the hypothalamus is a multicellular system that drives daily rhythms in mammalian behavior and physiology. Although the gene regulatory network that produces daily oscillations within individual neurons is well characterized, less is known about the electrophysiology of the SCN cells and how firing rate correlates with circadian gene expression. We developed a firing rate code model to incorporate known electrophysiological properties of SCN pacemaker cells, including circadian dependent changes in membrane voltage and ion conductances. Calcium dynamics were included in the model as the putative link between electrical firing and gene expression. Individual ion currents exhibited oscillatory patterns matching experimental data both in current levels and phase relationships. VIP and GABA neurotransmitters, which encode synaptic signals across the SCN, were found to play critical roles in daily oscillations of membrane excitability and gene expression. Blocking various mechanisms of intracellular calcium accumulation by simulated pharmacological agents (nimodipine, IP3- and ryanodine-blockers) reproduced experimentally observed trends in firing rate dynamics and core-clock gene transcription. The intracellular calcium concentration was shown to regulate diverse circadian processes such as firing frequency, gene expression and system periodicity. The model predicted a direct relationship between firing frequency and gene expression amplitudes, demonstrated the importance of intracellular pathways for single cell behavior and provided a novel multiscale framework which captured characteristics of the SCN at both the electrophysiological and gene regulatory levels.
Originally created by libAntimony v1.3 (using libSBML 4.1.0-b1)
This model originates from BioModels Database: A Database of Annotated Published Models. It is copyright (c) 2005-2010 The BioModels Team.
For more information see the terms of use
.
To cite BioModels Database, please use Le Novère N., Bornstein B., Broicher A., Courtot M., Donizelli M., Dharuri H., Li L., Sauro H., Schilstra M., Shapiro B., Snoep J.L., Hucka M. (2006) BioModels Database: A Free, Centralized Database of Curated, Published, Quantitative Kinetic Models of Biochemical and Cellular Systems Nucleic Acids Res., 34: D689-D691.