This a model from the article:
Systems analysis of iron metabolism: the network of iron pools and fluxes
Tiago JS Lopes, Tatyana Luganskaja, Maja Vujic-Spasic, Matthias W Hentze, Martina U Muckenthaler, K
laus Schumann and Jens G Reich
BMC Systems Biology2010, Aug 13;4(1):112.
20704761,
Abstract:
Background
Every cell of the mammalian organism needs iron in numerous oxido-reductive processes as well as fo
r transport and storage of oxygen. The versatility of ionic iron makes it a toxic entity which can
catalyze the production of radicals that damage vital membranous and macromolecular assemblies in t
he cell. The mammalian organism maintains therefore a complex regulatory network of iron uptake, ex
cretion and intra-body distribution. Intracellular regulation in different cell types is intertwine
d with a global hormonal signaling structure. Iron deficiency as well as excess of iron are frequen
t and serious human disorders. They can affect every cell, but also the organism as a whole.
Results
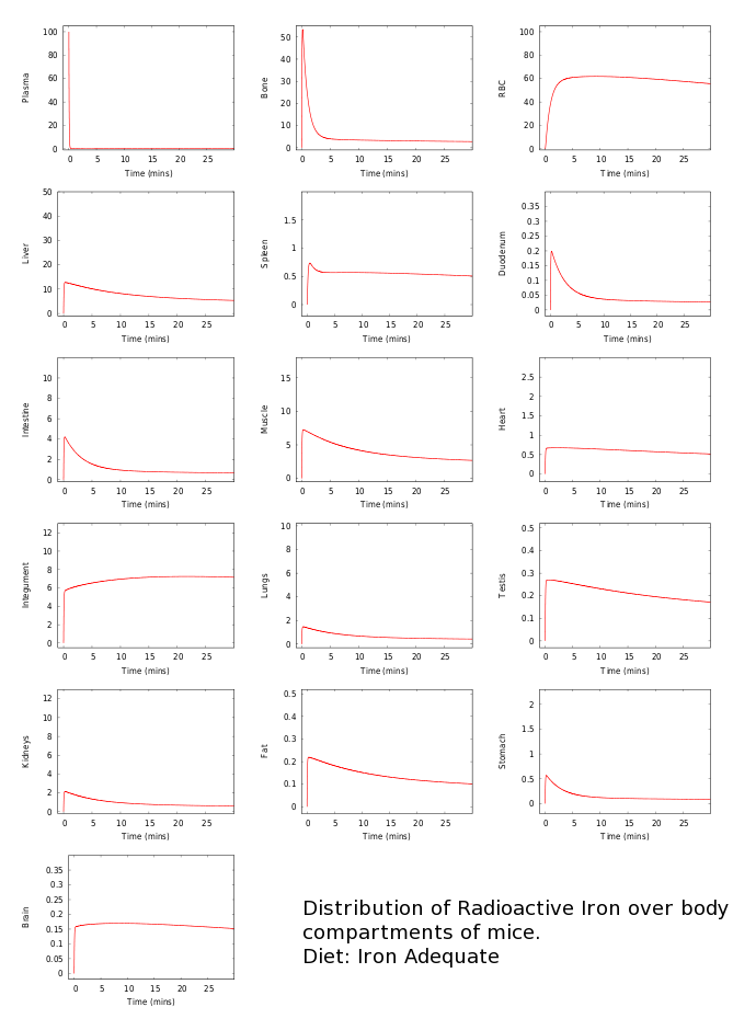
Here, we present a kinematic model of the dynamic system of iron pools and fluxes. It is based on f
errokinetic data and chemical measurements in C57BL6 wild-type mice maintained on iron-deficient, i
ron-adequate, or iron-loaded diet. The tracer iron levels in major tissues and organs (16 compartme
nt) were followed for 28 days. The evaluation resulted in a whole-body model of fractional clearanc
e rates. The analysis permits calculation of absolute flux rates in the steady-state, of iron distr
ibution into different organs, of tracer-accessible pool sizes and of residence times of iron in th
e different compartments in response to three states of iron-repletion induced by the dietary regim
e.
Conclusions
This mathematical model presents a comprehensive physiological picture of mice under three differen
t diets with varying iron contents. The quantitative results reflect systemic properties of iron me
tabolism: dynamic closedness, hierarchy of time scales, switch-over response and dynamics of iron s
torage in parenchymal organs. Therefore, we could assess which parameters will change under dietary
perturbations and study in quantitative terms when those changes take place.
This model corresponds to the Iron Adequate condition - Mice
This model originates from BioModels Database: A Database of Annotated Published Models. It is copyright (c) 2005-2010 The BioModels Team.
For more information see the terms of use.
To cite BioModels Database, please use Le Novère N., Bornstein B., Broicher A., Courtot M., Donizelli M., Dharuri H., Li L., Sauro H., Schilstra M., Shapiro B., Snoep J.L., Hucka M. (2006) BioModels Database: A Free, Centralized Database of Curated, Published, Quantitative Kinetic Models of Biochemical and Cellular Systems Nucleic Acids Res., 34: D689-D691.