This model encoded according to the paper Cross-talk and decision making in MAP kinase pathways.
Supplementary Figure 2 has been reproduced by COPASI4.0.20 (development) using parameter scan method. You probably need to uncheck "always use initial conditions" in copasi when you simulate for the second run in order to get the figure. S1 scale from 0 to 12. Keep in mind that the y axis is the fractions of excited X3 and Y3, meaning that X3P and Y3P are normalized by total concentration X3T and Y3T.
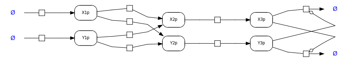
The results from modeling the pathway in Supplementary Figure1a, including both activation and inhibition. According to the paper, the value of ka and kd should in the orange region (ka belongs [0,1], kd belongs [1,10]) so assigned ka=0, kd=1.
The author made the simplifying assumption that the interactions between the pathways are symmetric. Thus the k12xy=k12yx=ka, k33xy=k33yx=kd.
To the extent possible under law, all copyright and related or neighbouring rights to this encoded model have been dedicated to the public domain worldwide. Please refer to CC0 Public Domain Dedication
for more information.
In summary, you are entitled to use this encoded model in absolutely any manner you deem suitable, verbatim, or with modification, alone or embedded it in a larger context, redistribute it, commercially or not, in a restricted way or not.
To cite BioModels Database, please use: Li C, Donizelli M, Rodriguez N, Dharuri H, Endler L, Chelliah V, Li L, He E, Henry A, Stefan MI, Snoep JL, Hucka M, Le Novère N, Laibe C (2010) BioModels Database: An enhanced, curated and annotated resource for published quantitative kinetic models. BMC Syst Biol., 4:92.