| Simulator: opencor 2021-10-05 | |
| CPU cores: 1 | |
| RAM: 8 GB | |
| Max time: 20 m |
| Submitted: 2022-04-21 03:22:20 PM | |
| Updated: 2022-04-21 03:25:18 PM | |
Status: Succeeded |
Name
Format
Download
Size
Directory
21.03 KB
26.27 KB
10.80 KB
4.864 KB
2.593 KB
31.93 KB
5.750 KB
47.56 KB
48.27 KB
6.018 KB
6.183 KB
2.828 KB
6.403 KB
2.834 KB
5.908 KB
23.09 KB
4.831 KB
4.773 KB
7.066 KB
2.483 KB
2.504 KB
12.84 KB
1.261 KB
27.68 KB
2.043 KB
1.205 KB
2.337 KB
428 B
2.206 KB
Directory
2.735 KB
1.950 KB
945 B
2.772 KB
3.143 KB
1.282 KB
1.646 KB
8.283 KB
669.7 KB
675 B
209 B
Directory
11.64 KB
1.701 KB
11.95 KB
5.934 KB
14.49 KB
14.11 KB
31.63 KB
Directory
1.991 KB
2.165 KB
612 B
108.8 KB
37.93 KB
1.989 KB
2.165 KB
583 B
126.7 KB
42.22 KB
1.618 KB
1.971 KB
446 B
115.6 KB
39.88 KB
2.188 KB
2.174 KB
192.4 KB
51.85 KB
630 B
299 B
1.962 KB
2.157 KB
535 B
115.0 KB
38.77 KB
1.655 KB
1.748 KB
1.698 KB
69.84 KB
1.910 KB
213.1 KB
841 B
200.6 KB
1.561 KB
1.976 KB
418 B
130.8 KB
42.29 KB
1.797 KB
2.242 KB
55.75 KB
120.3 KB
363 B
373 B
365 B
375 B
357 B
314 B
324 B
313 B
1.668 KB
2.280 KB
291 B
119.0 KB
41.55 KB
34.27 KB
50.09 KB
2.624 KB
3.185 KB
97.50 KB
420.8 KB
1.057 MB
1.301 KB
1.008 KB
1.528 KB
1.062 KB
1.054 MB
972 B
1.053 MB
945 B
1.053 MB
925 B
1.052 MB
715 B
1.050 MB
703 B
1.050 MB
620 B
1.050 MB
71.73 KB
30.37 KB
10.21 KB
10.21 KB
54.03 KB
53.18 KB
37.86 KB
48.89 KB
52.33 KB
62.24 KB
25.11 KB
79.22 KB
36.97 KB
168.2 KB
Name
Format
Download
Size
N/A
16.06 MB
N/A
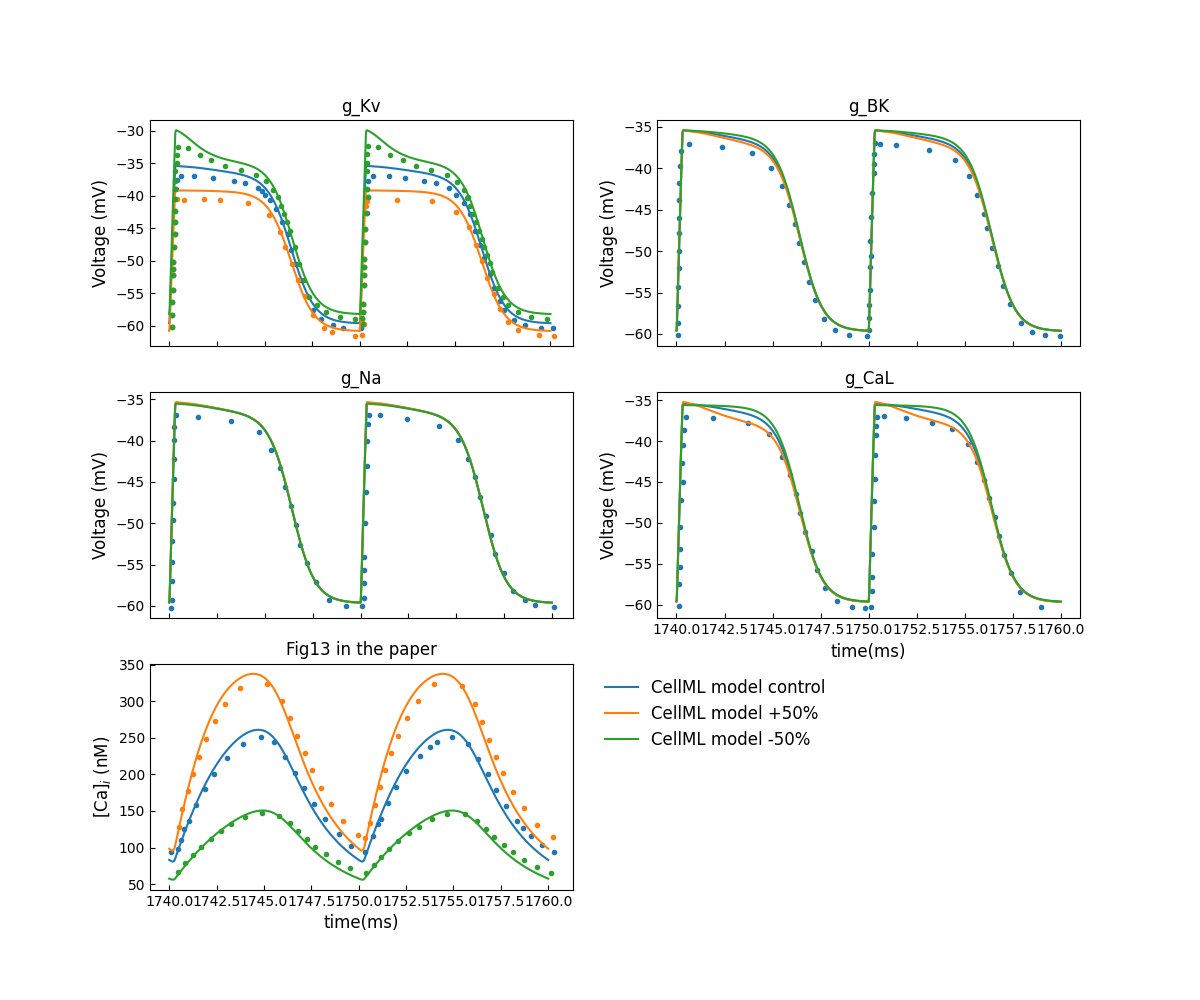
A diagrammatic representation of the Poh, Yong Cheng, et al (2012) model.